Universidad Nacional Autónoma de México • Instituto de Investigaciones Sociales

Districts of Peace: The peace in electoral apathy

Fernando Giraldo García* y Héctor Renán Soto Caballero**

PDF

* Doctor en Ciencia Política por la Universite de Paris III (Sorbonne-Nouvelle). Universidad del Norte. Temas de especialización: democracia, elecciones, reforma política. Km. 5 Vía Puerto Colombia, Área Metropolitana de Barranquilla, Colombia.

** Magíster en Estudios Políticos por la Pontifica Universidad Javeriana de Colombia. Universidad La Gran Colombia. Temas de especialización: elecciones, pobreza, desarrollo. Sede Administrativa Bogotá, Carrera 6 No. 12B-40.

 

Resumen: Desde la Constitución Política colombiana de 1991, las palabras “paz” y “democracia” no habían estado tan ligadas como ahora y, a diferencia de los procesos de paz anteriores, la relación “víctimas” y “democracia” tampoco fue colocada en la disputa electoral como lo es hoy a través de las Circunscripciones Transitorias Especiales de Paz (CTEP). Sin embargo, en dichas CTEP no hay un apoyo generalizado a la paz en todos los municipios, lo que advierte que no necesariamente la categoría de “víctimas” es sinónimo de apoyo a la paz; esto plantea desafíos para entender la paz y la democracia en el posconflicto.

Palabras clave: Circunscripciones Transitorias Especiales de Paz, elecciones legislativas, abstencionismo electoral, transición política, víctimas, Colombia.

Abstract: Not since the Colombian Political Constitution of 1991 have the words “peace” and “democracy” been so closely linked and unlike previous peace agreements, the relation between “victims” and “democracy” was not included in the electoral dispute as it is today through the Special Temporary Peace Districts (CTEP). However, in these CTEP, not all municipalities show widespread support for peace. This suggests that the category of “victims” is not necessarily synonymous with support for peace, posing challenges for understanding peace and democracy in the post-conflict era.

Key words: Special Temporary Peace Districts, legislative elections, electoral abstentionism, politic transition, victims, Colombia.

 

Desde la Constitución Política colombiana de 1991, las palabras “paz” y “democracia” no habían estado tan ligadas como ahora; eso suma más de 25 años y, a diferencia de los procesos de paz anteriores, la relación “víctimas” y “democracia” tampoco había sido tan visible y colocada en el escenario de la disputa electoral como lo es hoy a través de las Circunscripciones Transitorias Especiales de Paz (CTEP)1

Las CTEP son un tipo de circunscripción electoral especial, nueva y atípica para la Cámara de Representantes en Colombia. Fueron establecidas en el Acuerdo de Paz firmado entre el gobierno colombiano de Juan Manuel Santos y las guerrillas izquierdistas de las Fuerzas Armadas Revolucionarias de Colombia-Ejército del Pueblo (FARC-EP). Hay muchas dudas sobre las capacidades institucionales del Estado para garantizar la implantación efectiva de los acuerdos, y en lo referente al punto dos de éstos, relativo a la participación política, hay inquietudes sobre la capacidad de representación de las víctimas, su legitimidad, expresada en términos de votos, y el histórico lastre que representa el abstencionismo en todas las elecciones que se dan en Colombia, particularmente en el Plebiscito por la Paz del 2 de octubre de 2016. Por eso, la pregunta que guía esta investigación es ¿cuál sería el posible desempeño de las CTEP2 en las elecciones de 2018 y de 2022? Con el propósito de responder esta pregunta, el objetivo principal es identificar el comportamiento electoral en los municipios que forman parte de las CTEP en las últimas tres elecciones legislativas (2006, 2010 y 2014) y el Plebiscito por la Paz realizado en 2016.

 

Marco teórico

Actualmente Colombia se enfrenta a uno de los tantos procesos de paz impulsados desde las amnistías de 1982 (Chernick, 1996), con la particularidad de que éste se proyecta como uno de los procesos de paz más exitosos de la historia colombiana frente a la guerrilla más antigua de América Latina, a pesar de las dificultades que esto ha significado: desplazamiento forzado, despojo de la tierra y la propiedad, violencia, víctimas, reclutamiento infantil, desplazamiento forzoso, contracciones económicas y debilitamiento democrático. Hoy la paz se proyecta como uno de los logros más significativos de la historia reciente del país.

Más de medio siglo ha servido para que el contexto y la realidad de la lucha armada cambien hacia un escenario favorable de negociación de la paz en el país, pero ese tiempo también ha facilitado que los conceptos de paz cambien. Ahora la paz ya no se entiende exclusivamente como negación de guerra y violencia, sino también “como liberal, capitalista y democrática, de tal forma, que hay unas distancias con la relación paz-guerra-violencia y unas cercanías desde la relación paz-economía-democracia, con lo cual se espera problematizar el posconflicto desde una relación de juegos de intereses políticos y económicos” (Giraldo y Soto, 2016: 161-162).

 

Paz, democracia y elecciones

La paz colombiana debe partir del reconocimiento sistémico e integral sobre la misma; en ese sentido, la paz no solamente está pensada para disminuir la violencia y superar la guerra. El actual proceso de paz en Colombia también apuesta a la consolidación de una economía de mercado y un fortalecimiento del sistema democrático (véase figura 1). El Acuerdo de Paz contiene seis puntos, de los cuales dos están claramente vinculados con la dimensión democrática: el 2, sobre la participación política, y el 6, sobre la refrendación que se materializó a través del Plebiscito por la Paz celebrado el 2 de octubre de 2016, que concluyó a favor del “No” avalar los acuerdos, con una votación muy justa.3

Esta relación entre paz y democracia parte de los postulados teóricos de Michael Doyle, quien sugiere que la paz liberal se soporta en tres pilares: “representación republicana, derechos humanos e interdependencia transnacional” (2005: 463, traducido), que se deben problematizar de manera simultánea para entender el logro de la paz. Si eso es así, en el caso colombiano el déficit de paz liberal desde Doyle (citado por Giraldo y Soto) se soporta en la necesidad de ampliar los espacios de representación republicana y ampliar las garantías del Estado para el disfrute de los derechos humanos (2016: 164) a partir de la ampliación del espectro democrático a través de la participación política electoral y la no estigmatización de la protesta social.

 

Figura 1

Propuesta de ordenamiento de los puntos
de la agenda de negociación de paz en Colombia

a3f1

Fuente: Giraldo y Soto, 2016: 167.

Por lo tanto, la búsqueda de la paz, desde la teoría liberal de paz, apunta a fortalecer los mecanismos democráticos para su existencia, y por eso el aumento de espacios de representación política está pensado como un mecanismo para que los conflictos se resuelvan dentro de la democracia y la fortalezcan. Eso explica las curules asignadas a las FARC-EP en la Cámara de Representantes y el Senado de la República; por otro lado, se entiende políticamente que el actual proceso de paz está centrado en la víctima y no en el victimario;4 por ello se crearon las 16 CTEP, cuyo propósito es ampliar el espectro de representación democrática para que las víctimas tengan una mayor incidencia en dicho proceso desde los espacios de representación en la Cámara de Representantes,5 una mayor voz y representación desde la cual tramitar sus demandas ciudadanas, y ser un contrapeso para garantizar la construcción de la paz desde los espacios de decisión en el nuevo marco de posconflicto.

La participación política de los ex guerrilleros y las víctimas dentro de la democracia permitirá el “juego pacífico del poder (la adhesión de los que están ‘fuera’ del poder a las decisiones que toman los que están ‘dentro’, y el reconocimiento por parte de los que están ‘dentro’ de los derechos de los que están ‘fuera’)” (Lipset, 2001: 115), dotando de una potencial mayor legitimidad a la democracia colombiana y facilitando la posibilidad de construir una “democracia pactada” entre todos los actores políticos del país.

Partiendo de la idea que para Johan Galtung (1969) los conflictos no son necesariamente malos y que estos no desaparecen, sino que se transforman, es necesario reconocer que la democracia es la mejor forma para mediarlos; y dentro de ella, las elecciones han sido el instrumento por excelencia para materializarlos.

Para Nohlen, el sistema electoral “produce sus efectos en una compleja relación con otros factores causales” (2007: 137); señala que es necesario indagar estos otros factores”. El establecimiento de las CTEP significa una modificación del sistema electoral. Éste tiene unos efectos por sí mismo y en su relación con la sociedad y el estado donde funciona. Para Nohlen, el proceso electoral y su impacto está muy determinado por la teoría institucional y la relevancia del contexto. Así entonces, cuando se establecen las CTEP, inciden en todo el funcionamiento del sistema electoral. Para la Cámara de Representantes se definen dos curules para cada uno de 11 departamentos y más de dos para otros 21 departamentos y Bogotá, de acuerdo con su tamaño poblacional.

Las CTEP se establecen para un periodo de construcción de paz, transitorias (2018-2022 y 2022-2026), en territorios que abarcan municipios de uno, dos o hasta tres departamentos, siguiendo los criterios de: 1) Regiones donde el Estado se ha caracterizado por su ausencia, con alta conflictividad y pobreza extrema y estructural. Estas circunscripciones producen una representación de víctimas y regiones excluidas del sistema democrático por décadas y afectadas por el conflicto y marginadas de la acción de desarrollo del Estado. 2) Estas circunscripciones son uninominales y pueden postularse candidatos indígenas, víctimas o grupos sociales no presentes en el Congreso. 3) Estas circunscripciones son adicionales a las departamentales para la Cámara de Representantes. Cada elector puede votar dos veces: por su circunscripción departamental y por la CTEP. 4) Estas CTEP no sustituyen ni complementan las curules directas concedidas para dos a la guerrilla de las FARC, ya convertida en partido.

El acuerdo produjo la representación de las FARC por un lado y las CTEP para las víctimas y los sectores sociales de las regiones por el otro. Estas regiones que delimitan las CTEP responden a los territorios en un conflicto sin fronteras de carácter departamental.

De las 16 CTEP, dos agrupan municipios de tres departamentos, siete municipios de dos departamentos y siete municipios de un solo departamento. Varios municipios de departamentos integran diferentes circunscripciones: es el caso de Antioquia, Valle del Cauca, Cauca, Nariño y Bolívar. La totalidad de los municipios de los departamentos de Guaviare y Caquetá integran una CTEP en cada uno de ellos.

Esta investigación busca observar el impacto de la puesta en marcha de las CTEP como un componente transitorio del sistema electoral, teniendo en cuenta el contexto en el cual pueden producirse efectos específicos (Nohlen, 2007: 137). Según Maurice Duverger, el “comportamiento del electorado no es nunca la auténtica causa” (1959: 219, citado por Nohlen, 2007: 136) para predecir los resultados electorales; es igualmente pertinente considerar factores contextuales.

Las elecciones son parte “del proceso de democratización observado en toda América Latina desde finales de la década de los años ochenta” (Guzmán y Ramírez, 2015: 167), y la tendencia es que su número y frecuencia sigan aumentando en la medida en que las autoridades legislativas ganan más legitimidad, las autoridades regionales y locales se eligen en elecciones no simultáneas y la segunda vuelta o balotaje se posiciona como un mecanismo para dotar de mayor legitimidad los sistemas presidencialistas de la región. Aunque en Colombia se debería considerar mejor en términos no de democratización, sino de consolidación democrática.

Para Nohlen, las elecciones son “un procedimiento por el cual los miembros de organizaciones y/o de la comunidad eligen representantes para ocupar cargos políticos” (1995: 11), y de esa manera legitimar el sistema político (Nohlen, 1995: 11), además de “definir quién o quiénes ejercen el poder político y quién o quiénes lo pierden” (Franco-Cuervo y Flórez, 2009: 80); por otro lado, “las elecciones son democráticas cuando son inclusivas, limpias y competitivas, y constituyen el medio de acceso a los altos cargos públicos” (oea, 2008: 7), de modo que, para entender la participación política en el marco del Acuerdo de Paz, es necesario pensar la democracia colombiana desde el enfoque schumpeteriano de entender la misma como una competencia o disputa.

Adicionalmente, es oportuno recordar que la percepción de éxito de los procesos electorales en Colombia está mediada por el nivel de participación electoral que los respalde, colocando con ello al abstencionismo electoral como el principal elemento indeseado a superar en cada elección; en el caso de las CTEP, este tema no se puede menospreciar si se toma en cuenta que su origen responde al Acuerdo de Paz de 2016, y que en el Plebiscito por la Paz la participación electoral fue del 37.4%.

Durante el desarrollo del conflicto y hasta la firma del Acuerdo, la participación ha sido limitada, a pesar de la Constitución que ha podido garantizar un Estado liberal de derecho. Con el Acuerdo se consagra formalmente vincular al sistema electoral la participación ciudadana sin restricciones formales, lo cual favorece el comportamiento electoral en términos de mayor participación y pluralidad. En realidad, con el fin del conflicto se reconoce la necesidad de democratizar el sistema político, a través de la institucionalización de la oposición, la ampliación de la participación ciudadana. Los 167 municipios de las CTEP concentran 7.6% del censo electoral nacional (sin incluir electores de las zonas urbanas de 15 municipios cuyo censo electoral supera, en cada caso, las 50 000 personas).

 

Los tipos de abstencionismo

Para diferenciar el abstencionismo en función de la excepcionalidad que representa las CTEP, es necesario distinguir los niveles de apoyo electoral en una elección en la que la participación electoral no será la misma para todas las autoridades, en tanto que el acto electoral se piensa desde un voto plurinominal que se opera de manera múltiple en las elecciones legislativas.

El voto único o categórico se refiere al acto donde cada elector tiene un voto (Nohlen, 1995); para el caso colombiano, en las elecciones legislativas el elector sólo posee un voto (1) para elegir el Senado y un voto (1) para elegir la Cámara de Representante; en el caso de las CTEP, un voto (1) más para elegir representantes a la Cámara de Representantes (en 16 circunscripciones uninominales); sin embargo, se opera como un voto múltiple porque el elector posee tantos votos como autoridades están en disputa; por lo tanto, los niveles de respaldo pueden variar entre las autoridades por escoger, aunque el nivel de participación electoral siga siendo el mismo.

Para ello, se propone problematizar el abstencionismo desde un clivaje entre participación y decisión, ya que puede haber un nivel de participación (acto electoral) que cohabita con diferentes niveles de decisión (número de votos de las autoridades a elegir), de modo que frente a una misma intensidad de participación se pueden expresar diferentes intensidades de decisión.

En América Latina, y para el caso particular de Colombia, el abstencionismo electoral se considera un problema indeseado para la democracia electoral y cuyo comportamiento ha sido históricamente alto a pesar de la estabilidad de los ciclos electorales, socavando con ello las expectativas de legitimidad atribuidas a las elecciones ya que, según Jesús Montero (1983: 26), “la alta participación cobra un especial significado legitimador del sistema”. Por eso el abstencionismo electoral se puede conceptualizar como:

[…] la no participación en el acto de votar de quienes tienen derecho a ello. El abstencionismo electoral, que se enmarca en el fenómeno más amplio de la apatía participativa, es un indicador de la participación: muestra el porcentaje de los no electores sobre el total de los que tienen derecho de voto (Alcubilla, 1988: 1).

Este concepto coloca al abstencionismo electoral como una categoría negativa (López, 2013) para la democracia representativa (Thompson, 2003; Tuesta, 2003), que en términos prácticos opera como “una cifra difundida por un organismo electoral oficial; un dato estadístico que busca diferenciar claramente entre aquellos ciudadanos que votaron y los que no lo hicieron” (Franco-Cuervo y Flórez, 2009: 89) en una elección; en ese sentido, el abstencionismo es un indicador de legitimidad que expresa ausencia de participación en el acto de votar, cuyas categorías tradicionalmente se han dividido en abstencionismo electoral como ausencia de participación, y abstencionismo activo como sumatoria de votos nulos y blancos que expresan rechazo al sistema político o fallas involuntarias en el momento de sufragar, en tanto que se participa pero se vota de manera inefectiva (Thompson, 2007).

Por otro lado, “también es posible problematizar el abstencionismo desde una tensión entre la participación electoral y la decisión electoral” (Soto y Giraldo, 2016: 251), entendiendo que el abstencionismo decisional es el resultado de los ciudadanos que expresan diferentes intensidades de decisión aunque compartan iguales intensidades de participación, como sucede con las elecciones legislativas y locales en Colombia. Lo anterior significa que todos los electores expresan la misma intensidad de participación porque el voto está pensado en términos categóricos, aunque al escoger entre las tres o cuatro autoridades las intensidades de decisión cambian entre un elector y otro.

Por eso, el “abstencionismo decisional […] se puede definir como un indicador de ausencia de decisión electoral, que mide el porcentaje de no utilización de la totalidad del voto ordinal de los ciudadanos, que participando electoralmente si manifiestan sus preferencias por un partido político y/o un candidato de elección popular” (Soto y Giraldo, 2016: 251).

 

Figura 2

Tipologías de abstencionismo electoral según la participación electoral y decisión electoral

a3f2 

Fuente: Soto y Giraldo, 2016: 253.

 

Por lo tanto, la propuesta de esta investigación es problematizar las CTEP desde el comportamiento electoral de las elecciones legislativas (2006, 2010 y 2014) y el Plebiscito por la Paz, reconociendo que el alto abstencionismo observado (en este último caso de 62.6%) advierte una relación entre abstencionismo electoral y abstencionismo decisional para identificar los vacíos de respaldo electoral hacia las autoridades a cargos de elección popular, al margen del tipo de autoridad legislativa en el que éstas se eligen o el tipo de base electoral en el cual se soportan.

 

Marco metodológico

En este trabajo se aplicó la teoría empírica (Landman, 2011) con un método empírico de orientación estadística (Nohlen, 1995) para establecer correlaciones entre las variables de trabajo y hacer análisis de estadística descriptiva para caracterizar el comportamiento electoral en las CTEP. Esta investigación se propone desde un abordaje multidisciplinar, haciendo uso del marco teórico y conceptual propio de la ciencia política en el estudio de las elecciones y el abordaje cuantitativo desde la estadística descriptiva, para corroborar y validar las posturas y consideraciones finales a las que llega esta investigación.

Se escogió el enfoque empírico de orientación estadística porque “diferencia mejor entre los componentes de los sistemas electorales, precisamente con el fin de tratarlos estadísticamente como variables en el marco de una relación multicausal” (Nohlen, 1999: 75), facilitando con ello el diseño institucional, caracterizado por “su estrecha articulación con los procesos de selección de las autoridades políticas” y la competencia política (Badie y Hermet, 1993: 217).

La espacialidad está delimitada a los 167 municipios que conforman las 16 CTEP, las cuales se integran a partir de los siguientes 19 departamentos: Antioquia, Arauca, Bolívar, Caquetá, Cauca, Cesar, Chocó, Córdoba, Guaviare, Huila, La Guajira, Magdalena, Meta, Nariño, Norte de Santander, Putumayo, Sucre, Tolima y Valle del Cauca.

La presente investigación estudió las últimas tres elecciones legislativas (2006, 2010 y 2014) y el Plebiscito por la Paz de 2016; por lo tanto, la temporalidad abarca el periodo de 2006 a 2016. En las elecciones legislativas se eligen tres cuerpos colegiados: Senado de la República, Cámara de Representantes y Parlamento Andino;6 sin embargo, para los propósitos del presente artículo la temporalidad quedó delimitada a la elección a la Cámara, ya que es el cuerpo colegiado al cual se van a integrar las CTEP.

 

Caracterización del método de investigación

Casos

Por la metodología y las razones expuestas anteriormente, se utilizó un único caso referido a Colombia, utilizando sólo los resultados de la Cámara de Representantes a las elecciones legislativas de los municipios contenidos en las CTEP.

 

Unidad de análisis

Para la unidad de análisis se utilizaron las CTEP; por eso los resultados y la información están expresados en términos de las CTEP, reconociendo que dichos valores son el resultado de la agregación de los resultados de los municipios que forman parte de las mismas. Hay que señalar que no todas las CTEP tienen el mismo número de municipios; sin embargo, esto no es relevante para los propósitos de esta investigación, ya que la unidad de análisis es la agregación de las mismas en las CTEP.

 

Las variables

Para esta investigación es pertinente diferenciar entre las variables de proceso, entendidas como aquellas que permiten construir otro tipo de variables e indicadores, y las variables de trabajo, aquellas que posibilitan el ejercicio de análisis del comportamiento electoral en las CTEP.

  • Las variables de proceso son las siguientes: padrón electoral, votos de candidatos, votos blancos, votos válidos,7
     votos nulos, votos no marcados.
  • Las variables de trabajo fueron las siguientes: intensidad del voto, abstencionismo electoral, abstencionismo activo, abstencionismo decisional, abstencionismo electoral efectivo,8
     participación electoral y participación electoral efectiva.

 

Las observaciones

Para las elecciones en Colombia se contabilizaron 167 municipios, que son la base para el estudio de la unidad de análisis planteada en esta investigación. De esa manera, se obtuvieron 501 observaciones para las tres últimas elecciones legislativas y 167 observaciones para el Plebiscito por la Paz. En total, para esta investigación se utilizaron 668 observaciones.

Procesamiento de la información estadística electoral

La información sobre los resultados electorales de los 167 municipios se obtuvo de fuentes secundarias de información a través de los cd de estadísticas electorales que facilita la Registraduría Nacional del Estado Civil, y otras estadísticas electorales recuperadas directamente de la página web de dicha institución. Finalmente, a partir de dichos datos se hizo análisis de estadística descriptiva y estudio de correlación para medir la asociación no causal entre las variables de proceso y/o las variables de trabajo.

 

Resultados de investigación

En esta parte se presentan los resultados del comportamiento electoral y el abstencionismo electoral de las últimas tres elecciones legislativas y el plebiscito por la paz en las 16 CTEP.

 

Caracterización de las CTEP

Las CTEP representan 167 municipios de 1022 que tiene el país, y corresponden a más de 34% del territorio nacional, con una población superior al 1% de la población colombiana y de un 7.6% del censo electoral nacional. Se encuentran en dichos distritos electorales cuatro capitales de departamento: Florencia, Santa Marta, Valledupar y San Vicente del Caguán. Existen otros seis municipios con una población superior a 100 000 habitantes: Buenaventura, Tumaco, Santander de Quilichao, Ciénaga, Apartado y Caucasia. Santa Marta y Buenaventura tienen la categoría de Distritos Especiales. Buenaventura, ubicado en el Pacífico, es el principal puerto de Colombia. La mayoría de los municipios destacan por el abandono estatal, la precariedad de la infraestructura pública y social, los niveles bajos de instrucción formal de la población, y por ser mayoritariamente territorios de tradición económica agropecuaria y minera.

La mayoría de las CTEP se caracterizan por una composición étnica muy heterogénea, con fuerte presencia de población afrodescendiente e indígena.9 Por otra parte, en estos territorios, las actividades ilícitas vinculadas con el narcotráfico y la presencia de poderosas bandas criminales mantienen capturado al estado local, al proceso electoral local, y le disputan el control del territorio al Estado.

En los territorios que comprenden los 167 municipios de las 16 CTEP, en los 19 departamentos comprometidos, todos los candidatos que aspiren a ser electos en estos distritos electorales sólo lo podrán hacer a través de la figura constitucional de Grupos Significativos de Ciudadanos,10 por medio de organizaciones sociales, consejos comunitarios o resguardos indígenas legalmente constituidos. Los candidatos deben habitar en el área de la circunscripción o haber sido desplazados de esos territorios y que estén en proceso de retorno. Los partidos y movimientos políticos que tengan representación en el Congreso de la República y la organización política que surja del tránsito de las FARC-EP a la vida civil y a la actividad política no podrán inscribir candidatos en estas circunscripciones.

Estas CTEP responden a un enfoque en las victimas “y a un concepto de reparación política, no sólo para las víctimas, sino para la población en general […] que tras décadas de guerra […] no habían podido disfrutar de los beneficios de la democracia sin estar representados adecuadamente en el Congreso” (El Tiempo, 2018).

La creación de las circunscripciones desató controversia no tanto sobre el territorio que las delimita y los electores vinculados y el número de curules en juego, sino sobre quién podría potencialmente beneficiarse con ellas. Los sectores contrarios al proceso de paz argumentaron que se trataban de un “regalo disfrazado para las FARC, que no eran para las víctimas” (El Tiempo, 2018), y según el senador Álvaro Uribe, “no hay curules para las víctimas, sino 16 curules para las FARC” (El País de Cali, 4 de diciembre de 2017, p. A2).

Las 16 zonas que delimitan las CTEP debían contenerse en los Planes de Desarrollo con Enfoque Territorial para concentrar los esfuerzos estatales en el desarrollo, y por ello las curules debían convertirse en una vocería política directa en el Congreso.

Finalmente, en el debate público las fuerzas opositoras a estas curules aceptan que éstas se concedan, pero en términos diferentes. El partido Centro Democrático señala que “en el Congreso deberían asegurarse unas curules para las víctimas y los miembros retirados de la fuerza pública que hayan sido víctimas de crímenes de lesa humanidad o crímenes de guerra” (El Espectador, 2018); entiéndase por ello, los ocasionados por las FARC. Por su parte, el presidente del Congreso, Efraín Cepeda, indicó que “no se permitirá ninguna restricción para que las víctimas puedan participar en el proceso” (El Heraldo, 2018).

Al final, la agenda sobre participación del Acuerdo de Paz garantizó la participación de las FARC; el derecho a la oposición, y las CTEP para las víctimas y sectores sociales excluidos.

 

Tabla 1

Municipios que conforman las 16 CTEP

 a3t1

Fuente: Elaboración propia según datos del Proyecto de Acto Legislativo sobre las CTEP.

 

Mapa 1

Circunscripciones Transitorias Especiales de Paz

 a3m1

Fuente: Sergio Hurtado Saenz (2017). Proyecto de la superación del conflicto armado en Colombia. Perspectivas sociológicas esap, tomado de Borja (2017: 68).

 

Las CTEP y el acuerdo con las FARC-EP en general distan mucho del pos-acuerdo y el involucramiento de las guerrillas centroamericanas en la vida democrática como resultado de los Acuerdos de Esquipulas II, ya que en dicha región el conflicto armado alcanzó una cobertura nacional, de modo que la participación de las guerrillas en Guatemala, Nicaragua y El Salvador se centraron en la disputa presidencial, ya que de hecho en dichos países las elecciones eran simultáneas para elegir al presidente y el Congreso; en cambio, en Colombia las CTEP se han pensado para las víctimas y su diseño ha respondido a un factor diferencial de focalización territorial.

De hecho, el acuerdo garantiza la participación de la guerrilla de las FARC, modifica el sistema electoral para incorporar los territorios marginados, crea una justicia especial de paz y habilita institucionalmente la participación de la guerrilla en política. Con el surgimiento de las Fuerzas Alternativas Revolucionarias del Común se consolidó el tránsito de guerrilla a partido político. Esta nueva organización electoral dispone de una bancada parlamentaria de 10 congresistas para los periodos 2018 a 2022.

Por otra parte, la transformación de guerrilla en partido está determinada por el contexto institucional de un sistema de partidos que reconoce a organizaciones de carácter nacional, no geográficamente adscritas. El desarrollo regional del conflicto y la implantación gradual de los acuerdos hizo posible que la guerrilla inicialmente surja como un solo partido.

El proceso de implantación de los acuerdos ha encontrado obstáculos institucionales y resistencias políticas en la sociedad, lo cual ha traído como consecuencia un lento, complejo y difícil tránsito de la guerrilla de las FARC a partido político. Igualmente, su vocabulario ha tenido pocos cambios y se ha visto reforzado negativamente por la conservación de las mismas siglas FARC, dados la creencia y el interés de garantizar, según Vicente Torrijos, “una clara continuación del proyecto revolucionario” (La Nación, 2018). La transición política de un partido cuyo origen es externo, no electoral, en un contexto de fuerzas políticas tradicionales mayoritarias, hace dispendiosa la conversión de las FARC en un partido electoral.

 

Objetivo de las CTEP

Las CTEP tienen “como objetivo crear en la Cámara de Representantes 16 representantes adicionales para los periodos 2018-2022 y 2022-2026” (Congreso de Colombia, 2017: 4), los cuales serán escogidos en las elecciones legislativas y tienen como objetivo visibilizar y potenciar la participación de las víctimas del conflicto armado colombiano en el Congreso de la República. Estas 16 CTEP son representativas de los territorios más vulnerables socialmente, poco o nada atendidos por el Estado y más afectados por el conflicto armado; por eso, su identificación se estableció a partir de estos cuatro criterios: “1) Grado de afectación derivado del conflicto, 2) presencia de cultivos de uso ilícito y otras economías ilegítimas, 3) niveles de pobreza, y 4) debilidad institucional” (Congreso de Colombia, 2017: 5).

Las CTEP agrupan un total de 167 municipios contenidos en 19 departamentos. Destaca Antioquia como el departamento que contiene más municipios, 24 en total distribuidos en las CTEP 3, 6, 13 y 16; lo sigue el Departamento del Cauca, con 20 municipios distribuidos en las CTEP 1 y 9. En el otro extremo, el Departamento del Tolima contiene cuatro municipios en la CTEP 15, y el Departamento del Valle del Cauca tiene dos municipios en la CTEP 1 y un municipio en la CTEP 9 (véase tabla 2): Adicionalmente, la totalidad de los municipios de los departamentos de Caquetá y Guaviare están contenidos en las CTEP 5 y 7. Esto refleja la severidad del conflicto armado en dichos departamentos.

En las circunscripciones de paz, luego de la firma de los acuerdos, se concentran cerca de 50% de los hechos más graves de violencia política (moe, 2017: 2). En los departamentos de Norte de Santander, Cauca, Nariño, Arauca, Antioquia, Choco y Bolívar no sólo existían las guerrillas de las FARC, sino el Ejército de Liberación Nacional (ELN), grupos paramilitares y bandas criminales vinculadas con el narcotráfico o con la minería ilegal.

La circunscripción estuvo totalmente controlada por las FARC. La circunscripción 12, con 13 municipios de tres departamentos, ha “acogido” paramilitares y bandas criminales sin mayores problemas (El Espectador, 2017, p. 10).

 

El tamaño de las CTEP

Las CTEP son uninominales. En ese sentido, las 16 CTEP generan el mismo nivel de representación y la victoria del candidato electo estará determinada por la fórmula electoral de mayoría simple; sin embargo, los votos requeridos para obtener dicha mayoría estarán sujetos al tamaño del padrón electoral de cada CTEP. Así entonces, hay ocho circunscripciones electorales que tienen un padrón electoral inferior a los 200 000 electores; cuatro circunscripciones tienen un padrón electoral entre los 200 000 y 300 000 electores, y las restantes cuatro circunscripciones tienen un padrón electoral superior a los 300 000 electores (véase más adelante la gráfica 1).

Se puede advertir que las circunscripciones con un padrón electoral superior a los 300 000 electores contienen municipios muy poblados que podrían concentrar la votación y generar intensidades diferentes de electores, que provocarían a su vez intensidades distintas en la búsqueda de votos, con la consecuente discriminación y focalización de votos en los municipios más poblados. Estos municipios son Caucasia, Turbo, Apartado (CTEP 3 y 16, municipios del Departamento de Antioquia), Florencia (CTEP 5, municipio del Departamento del Caquetá), Tumaco (CTEP 10, municipio del Departamento de Nariño), Buenaventura (CTEP 9, municipio del Departamento del Valle del Cauca), Santa Marta y Ciénaga (CTEP 12, municipios del Departamento del Magdalena), y Valledupar (CTEP 12, municipio del Departamento del Cesar).

Tabla 2

Número de municipios por CTEP según departamentos de Colombia

 a3t2

Fuente: Elaboración propia según datos de la Registraduría Nacional del Estado Civil y la propuesta de Proyecto de Acto Legislativo de las Circunscripciones de Paz.

 

Gráfica 1

Número de electores en las CTEP según el padrón electoral de 2016 sin sustraer los municipios con más de 50 000 electores

 a3g1

Fuente: Elaboración propia según datos de la Registraduría Nacional del Estado Civil.

 

La mayoría de los municipios de las circunscripciones electorales son semirrurales, tienen una economía de la coca en numerosos casos, ganadería extensiva y cultivo de palma africana en otros; el empleo en ellos es bajo y existe una alta concentración de la tenencia de la tierra y un incipiente uso de la misma.

Por ello, la propuesta de Proyecto de Acto Legislativo de las Circunscripciones Transitorias Especiales de Paz prevé un condicionamiento a los municipios con un padrón electoral superior a los 50 000 electores. Al respecto, dicho Acto Legislativo señala: “Cuando el censo electoral de alguno de los municipios incluidos en estas circunscripciones supere los 50 000 ciudadanos aptos para votar, únicamente se habilitarán los puestos de votación y el censo electoral de la zona rural del correspondiente municipio y se excluirán los puestos de votación y censo electoral de la cabecera municipal” (Congreso de Colombia, 2017: 2).

Esta medida va más allá de las cuatro CTEP que tienen más de 300 000 electores en su padrón electoral y su alcance se extiende a nueve CTEP que tienen al menos un municipio con más de 50 000 electores. Los casos más evidentes son: la CTEP 9, con un municipio que concentra 82.7% del padrón electoral; la CTEP 12, con cuatro municipios que concentran 76.6% del padrón electoral; la CTEP 14, con dos municipios que concentran 66.6% del padrón electoral, y la CTEP 10, con un municipio que concentra 54.3% del padrón electoral (véase tabla 3).

 

Tabla 3

Municipios con la mayor concentración de padrón electoral de 2016 en las 16 CTEP

a3t3

Fuente: Elaboración propia según datos de la Registraduría Nacional del Estado Civil.

 

Actualmente hay 15 municipios con más de 50 000 electores en las CTEP (Santander de Quilichao, Florida, Tame, Caucasia, San Vicente del Caguán, Buenaventura, Tumaco, Ciénaga, Santa Marta, Fundación, Apartado, Valledupar, Turbo, Florencia y San José del Guaviare); sin embargo, esta cifra puede aumentar si se toman en cuenta los posibles esfuerzos por mejorar el proceso de cedulación de los habitantes, el retorno de las víctimas desplazadas por el conflicto armado a sus municipios de origen, y cinco municipios con más de 40 000 electores en las CTEP.

 

Resultados electorales de las elecciones legislativas de 2006, 2010 y 2014 en las CTEP

El comportamiento de los municipios que conforman las CTEP en las elecciones legislativas de 2006, 2010 y 2014 es importante, en tanto que permite proyectar una tendencia sobre los posibles resultados y escenarios que se podían esperar en la elección legislativa de 2018, además de identificar cursos de acción y situaciones susceptibles de ser consideradas para mejorar el desempeño de la democracia electoral en estas CTEP.

En términos agregados, de 2010 respecto a 2006: los votos aumentaron más que el incremento del padrón electoral; los votos válidos aumentaron 28%; el voto en blanco prácticamente se duplicó, pues tuvo un incremento de 80%. Por otro lado, de 2014 respecto a 2010: todos los votos —a excepción de los nulos— aumentaron más que el incremento del padrón electoral; los votos válidos aumentaron 15%; el voto en blanco aumentó 16%, y los votos nulos disminuyeron 5% (véase tabla 4), de modo que, en términos agregados, la tendencia apunta a una mejora en los niveles de participación electoral como resultado del aumento del control y la presencia estatal en dichos departamentos; aunque es oportuno reconocer que las capacidades estatales siguen siendo limitadas y la participación electoral constreñida.

 

Tabla 4

Resultados agregados de las elecciones legislativas de 2006, 2010 y 2014 en los municipios que conforman las CTEP

a3t4 

Fuente: Elaboración propia según datos de la Registraduría Nacional del Estado Civil.

 

Respecto a la relación de votos en la Cámara de Representantes y el Senado de la República, las CTEP se enfocan en ampliar los espacios de participación en la Cámara de Representantes, las cuales se escogen en las elecciones legislativas que son simultáneas en la Cámara de Representantes y el Senado de la República. Pese a su simultaneidad, los votos no son los mismos en ambos cuerpos legislativos; la tendencia apunta a que los votos para el Senado superan a los votos para la Cámara de Representantes; sin embargo, esa tendencia se invirtió en 2014 (véase gráfica 2).

 

Gráfica 2

Votos válidos de Cámara de Representantes y Senado en las elecciones legislativas de 2006, 2010 y 2014
en los municipios que conforman las CTEP

 a3g2

Fuente: Elaboración propia según datos de la Registraduría Nacional del Estado Civil.

 

En el caso de las elecciones de 2006, los votos al Senado de la República fueron superiores a los de la Cámara de Representantes en siete de las CTEP. En 2010, los votos al Senado fueron superiores en 13 CTEP. En 2014, los votos al Senado fueron superiores en cuatro CTEP, de modo que en términos desagregados hay una permanente variación pendular entre los votos de Senado y Cámara de Representantes en 10 CTEP, ya que en las CTEP 2, 7 y 11 los votos válidos a la Cámara de Representantes, con respecto al Senado, han sido siempre mayoritarios, y en las CTEP 8, 9 y 13 los votos al Senado, con respecto a la Cámara de Representantes, han sido permanentemente mayoritarios.

 

Figura 3

Votos disponibles en las elecciones legislativas de 2018 en los municipios que forman parte de las CTEP

a3g3

Fuente: Elaboración propia.

 

Este aumento en el número de votos disponibles plantea desafíos futuros en pedagogía electoral para que se garantice un correcto uso del voto y minimice los riesgos de votos nulos involuntarios, ya que habrá un voto al Senado en un tarjetón electoral (de 100 curules por la Circunscripción Nacional Ordinaria o de dos por la Circunscripción Especial Indígena) y dos votos a la Cámara de Representantes en un segundo tarjetón. En el tarjetón para la Cámara de Representantes se asignará un voto a la circunscripción territorial ordinaria o indígena, o afrodescendiente, o por colombianos en el exterior, y el otro voto en la CTEP. Adicionalmente, hay que considerar que la circunscripción indígena advierte muchas coincidencias con las CTEP en los municipios con alta población indígena y una atomización del sistema de partidos en dichos municipios.

A propósito de la participación y el abstencionismo electoral en las elecciones legislativas, las CTEP no serían ajenas a la tendencia generalizada de alto abstencionismo en Colombia. En relación con las elecciones legislativas estudiadas para esta investigación, en términos agregados, el abstencionismo electoral se colocó por encima de 58%. El abstencionismo activo —resultante de la suma de los votos nulos y las papeletas no marcadas— fue superior a 5%, y el abstencionismo decisional —electores que participan y no deciden— estuvo entre 1% y 2% aproximadamente. Lo anterior significa que sólo cuatro de cada 10 personas salieron a participar, y solamente tres de cada 10 electores salieron a participar y decidir, manteniendo con ello los ya reconocidos problemas de legitimidad de la democracia electoral, en un escenario donde el sufragio universal en Colombia se entiende como un derecho, pero se instrumentaliza como un deber.

 

Tabla 5

Indicadores de abstencionismo y participación electoral de las elecciones legislativas de Colombia celebradas
en 2006, 2010 y 2014 en los municipios que conforman las CTEP

 a3t5

Fuente: Elaboración propia según datos de la Registraduría Nacional del Estado Civil.

 

En los territorios en los que se definen las CTEP, el abstencionismo promedio de las últimas tres elecciones legislativas (2006, 2010 y 2014) fue de 61.5%: en la CTEP 3 el abstencionismo fue el más alto, con 72.2%, y en las CTEP 2, 4, 5, 7, 10, 11, 15 y 16 éste tuvo un valor por encima del promedio observado. Por el lado opuesto, en las mismas elecciones legislativas, en la CTEP 8 el abstencionismo promedio fue el más bajo, con 41.6%.11 A pesar de lo anterior, la tendencia muestra signos de mejora, ya que de 2006 a 2014 el abstencionismo se redujo 8.2%, y esto se notó en todas las CTEP.

Como es previsible, el conflicto armado ha sido un factor clave para constreñir la participación electoral. Igualmente, las limitadas capacidades estatales han generado condiciones para la apatía electoral. Las barreras para la participación electoral tienen que ver con un déficit severo de cedulación, dificultades de acceso a los puestos de votación, y violencia política y social (MOE, 2017: 1-2) (Fundación Paz y Reconciliación, 2017: 2). De los 167 municipios de las CTEP, 77 (46%) han tenido déficit de cedulación y 70% de los municipios de las CTEP tienen dificultades para acceder a los puestos de votación (hay un puesto en promedio cada 2 148 km²). Entre 2016 y 2017, en los 167 municipios se presentaron 160 hechos de violencia (2017: 29). Asimismo, 76% de los municipios, hasta 2015, tuvieron cultivos ilícitos (en dichos territorios se concentraba más de 50% de la coca cultivada en el país). Actores ilícitos y violentos de diverso orden (distintos a las FARC) y economías ilegales, entre 2014 y 2016, tenían presencia en los municipios de las circunscripciones: ELN en 59, bandas criminales en 50, drogas ilícitas en 127 y minería ilegal en 58 (2017: 16). Las condiciones políticas y sociales en el mundo rural también contribuyen a aumentar los costos transaccionales del voto y a promover la focalización de los mismos en las zonas urbanas.

Continuando con la problematización del abstencionismo en las CTEP, hay que advertir una tensión entre participación y decisión a partir del comportamiento del abstencionismo electoral y el abstencionismo decisional en las elecciones legislativas de 2006 a 2014. Al analizar los datos (véase gráfica 3), se comprueba que las circunscripciones con mayor abstencionismo electoral son las que tienen el menor abstencionismo decisional, es decir, que entre mayor sea el nivel de participación, menor será el nivel de decisión.

 

Tabla 6

Abstencionismo electoral por CTEP según elección legislativa en Colombia de 2006, 2010 y 2014

 a3t6

Fuente: Elaboración propia según datos de la Registraduría Nacional del Estado Civil.

 

Gráfica 3

Comportamiento del abstencionismo electoral y del abstencionismo decisional en las elecciones
legislativas de 2006, 2010 y 2014, en las CTEP

 a3g3

Fuente: Elaboración propia según datos de la Registraduría Nacional del Estado Civil.

 

Esto resulta muy inconveniente si se toma en cuenta que la apuesta es que tanto la participación como la decisión electoral aumenten. Por un lado, hay un interés por las CTEP como espacios donde se oiga la voz de las víctimas del conflicto armado, y para ello se prevé un fortalecimiento de los instrumentos de participación electoral; por otro lado, al incorporarse las CTEP, se aumenta el nivel de decisión electoral, ya que los electores tendrán tres votos para escoger (uno para el Senado y dos para la Cámara de Representantes). Hay que reconocer que dos ciudadanos que participen electoralmente pueden tener intensidades distintas de decisión, en tanto uno de ellos use los tres votos disponibles y el otro decida, por ejemplo, usar únicamente el voto de la CTEP, denotando con ello igual intensidad de participación pero diferentes intensidades de decisión.

El estudio correlacional (véase tabla 7) corrobora la hipótesis planteada, ya que el coeficiente de correlación es negativo para las tres elecciones legislativas, lo que demuestra que a mayores niveles de participación, menores niveles de decisión electoral, de modo que es posible advertir que en las próximas elecciones legislativas de 2018 los niveles de participación electoral aumentarán en las CTEP, pero los niveles de decisión disminuirán en parte por el aumento de votos disponibles y —en caso de no garantizarse una adecuada pedagogía electoral— por el aumento de los votos nulos involuntarios.

 

Tabla 7

Estadísticas de correlación lineal entre el abstencionismo electoral y el abstencionismo decisional en
las elecciones legislativas de los municipios que conforman las CTEP

 a3t7

Fuente: Elaboración propia según datos de la Registraduria Nacional del Estado Civil

 

El Plebiscito por la Paz y la proyección en las CTEP

El Plebiscito por la Paz celebrado el 2 de octubre de 2016 ha sido el escenario electoral más directo y vinculante para problematizar el apoyo a la paz, y aunque en dicho plebiscito se impuso el “No” con una abstención nacional de 62.6%, tampoco se puede desconocer que la elección legislativa y las elecciones presidenciales de 2014 estuvieron mediadas por la paz como clivaje para orientar las preferencias electorales; por eso, es oportuno relacionar los resultados electorales del Plebiscito por la Paz, en los municipios que forman parte de las CTEP, para advertir posibles cursos de acción en las elecciones legislativas de 2018 y 2022.

Uno de los resultados más interesantes es que no en todos los municipios que conforman las CTEP ganó el “Sí”; de hecho, en 35 de los 167 municipios ganó el “No” (véase tabla 8), lo que refleja que las condiciones adversas de la pobreza y el conflicto armado no garantizan necesariamente un apoyo automático e incondicional a la paz; prueba de ello es que sólo en siete de las CTEP los municipios votaron totalmente a favor del “Sí”; en el extremo opuesto, en la CTEP 15 todos los municipios votaron a favor del “No”. De este modo, el apoyo a la paz en estas circunscripciones no estará alejado de la polarización que se manifiesta en el resto del país, y se aprecia que no necesariamente la categoría de “víctimas” es sinónimo de apoyo a la paz.

 

Tabla 8

Número de municipios de las CTEP según la postura ganadora en el Plebiscito por la Paz en Colombia

 a3t8

Fuente: Elaboración propia según datos de la Registraduría Nacional del Estado Civil.

 

Aunque el número de municipios a favor y en contra de la paz es importante para identificar apoyos desagregados, en el caso de las circunscripciones electorales lo significativo es identificar el apoyo expresado en porcentaje de votos; desde esta perspectiva, el panorama en todo el territorio (no valorado por municipios) es más favorable para la paz. En términos agregados, el “Sí” obtuvo 64.1% de las CTEP, ganando en 14 de las 16 CTEP, y en algunos casos de manera muy destacada.

 

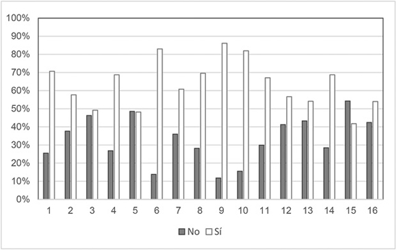
Gráfica 4

Porcentaje de votos a favor del “Sí” y el “No” en el Plebiscito por la Paz en Colombia

a3g4 

Fuente: Elaboración propia según datos de la Registraduría Nacional del Estado Civil.

 

Al analizar el porcentaje de municipios donde ganó el “Sí” la participación electoral, se advierte que hay una correlación positiva entre ambos; es decir, la participación electoral fue más alta en aquellas CTEP en donde el porcentaje de municipios en los que ganó el “Sí” fue mayor (véase gráfica 5).

Este comportamiento electoral es prometedor para las CTEP, ya que se ha señalado anteriormente que hay una apuesta por fortalecer los niveles de participación y que, dada la tendencia observada, se inclinarían favorablemente por el “Sí”; sin embargo, dado que a mayor participación electoral hay una disminución de la decisión electoral, es muy posible que el aumento de la participación fortalezca el respaldo a las CTEP en detrimento de las otras circunscripciones de la Cámara de Representantes y del Senado.

 

Gráfica 5

Relación entre la participación electoral y el porcentaje de municipios de las CTEP donde ganó
el “Sí” en el Plebiscito por la Paz en Colombia

 a3g5

Fuente: Elaboración propia según datos de la Registraduría Nacional del Estado Civil.

 

Consideraciones finales

El proceso de paz dejará un legado de cualificación democrática a través de la ampliación del espectro representativo de la disputa electoral por dentro del poder legislativo, integrando y fortaleciendo la representación de las FARC-EP y las víctimas del conflicto armado a través de la incorporación de estas últimas desde las CTEP, para lograr que la paz en Colombia tenga un carácter más incluyente por encima de la violencia y la guerra.

Las CTEP son un instrumento de representación política pensada para las víctimas del conflicto, que modifica transitoriamente (del 2018 a 2026) el tamaño de la Cámara de Representantes y el tipo de circunscripción electoral, incorporando un voto más en los municipios de las CTEP y colocando nuevos desafíos en materia de pedagogía electoral para que se fortalezca la participación electoral y se minimice un potencial aumento de los votos nulos involuntarios que podrían debilitar la base de legitimidad de dichas circunscripciones.

Las CTEP no son ajenas a la tendencia generalizada de alto abstencionismo en Colombia; su gran desafío será aumentar el nivel de participación observado en estas circunscripciones, como es previsible. El conflicto armado ha sido un factor clave para constreñir la participación electoral; asimismo, las limitadas capacidades estatales también han aportado condiciones para el desencanto político y electoral; las condiciones políticas y sociales de la vida en el campo igualmente aumentan los costos de transacción política e inducen a la focalización del voto en las zonas urbanas.

Era posible advertir que en las elecciones legislativas de 2018 los niveles de participación electoral aumentarían en las CTEP, pero los niveles de decisión disminuirían en parte por el aumento de votos disponibles, y en ausencia de pedagogía electoral, por el aumento de los votos nulos involuntarios.

En las CTEP no hay un apoyo generalizado e irrestricto a la paz en todos los municipios, de modo que no necesariamente la categoría de “víctimas” es sinónimo de apoyo a la paz, lo que plantea verdaderos desafíos para entender la paz y la democracia como un ejercicio de tolerancia, inclusión y capacidad de concertar acuerdos en el marco de las diferencias que dejó el conflicto armado en Colombia a lo largo de los siglos XX y XXI.

Por otra parte, en las elecciones legislativas 2014, los partidos Liberal, Conservador y de la U fueron dominantes en gran parte del territorio de las CTEP (en 126 municipios): el Liberal venció en 58, la U en 38, el Conservador en 30 y diferentes organizaciones sociales, indígenas e independientes ganaron en 16 (Fundación Paz y Reconciliación, 2017: 4-5). Para el caso de la Cámara de Representantes en 2014, el Partido Liberal obtuvo la mayor votación en ocho (50%) de las circunscripciones, seguido por la U en cuatro (25%), el Conservador en dos (12,5%) y Cambio Radical y Alianza Verde en una circunscripción (12.5% cada uno) (MOE, 2017: 8).

 

Bibliografía

Acuerdo de Paz (2016). Acuerdo final para la terminación del conflicto y la construcción de una paz estable y duradera. Disponible en <enlace> [última consulta: 20 de enero de 2017].

Alcubilla, Enrique (1988). “Abstencionismo electoral”. Diccionario Electoral, tomo I, 1-6. Costa Rica: Instituto Interamericano de Derechos Humanos-Centro de Asesoría y Promoción Electoral.

Badie, Bertrand, y Guy Hermet (1993). Política comparada. México: Fondo de Cultura Económica.

Borja, Miguel (2017). “Perspectivas territoriales del acuerdo de paz”. Revista Análisis Político 30 (90): 61-76.

Congreso de Colombia (2017). Propuesta de Proyecto de Acto Legislativo. “Por medio del cual se crean 16 Circunscripciones Transitorias Especiales de Paz para la Cámara de Representantes en los periodos 2018-2022 y 2022-2026”. Disponible en <enlace> [última consulta: 14 de mayo de 2017].

Chernick, Mark (1996). “Aprender del pasado: breve historia de los procesos de paz en Colombia (1982-1996)”. Colombia Internacional 36: 4-8.

Doyle, Michael (2005). “Three pillars of the liberal peace”. The American Political Science Review 99 (3): 463-466.

Franco-Cuervo, Beatriz, y Javier Flórez (2009). “Aproximación teórico-conceptual de la participación electoral: una discusión aún abierta”. Desafíos 21: 77-95.

Fundación Paz y Reconciliación (2017). Circunscripciones transitorias especiales de paz: democracia y gobernabilidad. Disponible en <http://pares.com.co/
wp-content/uploads/2017/05/INFORMES-CETP.-1-FINAL.pdf
> [última consulta: 20 de julio de 2018].

Galtung, Johan (1969). “Violence, peace, and peace research”. Journal of Peace Research 6 (3): 167-191.

Giraldo, Fernando, y Héctor Soto (2016). “Transición colombiana: análisis prospectivo del proceso de paz”. En La cooperación internacional en transición 2015-2030, editado por Jairo Agudelo y Gustavo Rodríguez, 161-177. Cartagena: Universidad de San Buenaventura. Disponible en <enlace> [última consulta: 17 de mayo de 2017].

Guzmán, Carlos, y Adriana Ramírez (2015). “El elector colombiano. Una aproximación al perfil del votante de los principales partidos en elecciones presidenciales, 2002-2010”. Investigación y Desarrollo 23 (1): 165-198. Disponible en <http://www.redalyc.org/articulo.oa?id=26839041007> [última consulta: 20 de abril de 2017].

Landman, Todd (2011). Política comparada. Una introducción a su objeto y métodos de investigación. Madrid: Alianza Editorial.

Lipset, Seymour (2001). “Algunos requisitos sociales de la democracia: desarrollo económico y legitimidad política” En Diez textos básicos de ciencia política, editado por Albert Batlle, 113-150. Barcelona: Ariel.

López, Rogelio (2013). “El abstencionismo como fenómeno político en la sociedad contemporánea”. Culturales 1 (1): 53-68. Disponible en <http://www.redalyc.org/articulo.oa?id=69429860003> [última consulta: 7 de marzo de 2017].

Misión de Observación Electoral (MOE) (2017). Circunscripciones Transitorias Especiales de Paz para la Cámara de Representantes 2018-2022 y 2022-2026.

Montero, José (1983). “Niveles, fluctuaciones y tendencias del abstencionismo electoral en España y Europa”. Revista Española de Investigaciones Sociológicas 28 (III): 223-242. Disponible en <http://www.reis.cis.es/REIS/PDF/REIS_028_11.pdf> [última consulta: 20 de mayo de 2017].

Nohlen, Dieter (1995). Elecciones y sistemas electorales. Caracas: Fundación Friedrich Ebert-Nueva Sociedad.

Nohlen, Dieter (1999). Sistema de gobierno, sistema electoral y sistema de partidos políticos: opciones institucionales a la luz del enfoque histórico-empírico. México: Instituto Federal Electoral-Tribunal Electoral del Poder Judicial de la Federación/Fundación Friedrich Naumann.

Nohlen, Dieter (2017). Ciencia política: teoría institucional y relevancia del contexto. Argentina: Universidad del Rosario.

Organización de Estados Americanos (OEA) (2008). Un manual para las misiones de observación electoral de la OEA. Secretaría General de la OEA.

Soto, Héctor, y Fernando Giraldo (2016). “El abstencionismo decisional”. Revista ALCEU 32 (16): 238-263. Disponible en <http://revistaalceu.com.puc-rio.br/media/pp%20238-263.pdf> [última consulta: 12 de febrero de 2017].

Thompson, José (2003). El abstencionismo electoral. Algunos dilemas derivados de su existencia para el derecho y la administración electoral. Costa Rica: Centro de Asesoría y Promoción Electoral.

Thompson, José (2007). “Abstencionismo y participación electoral”. En Dieter Nohlen et al. (compiladores). Tratado de derecho electoral comparado de América Latina, 266-286. México: Fondo de Cultura Económica/Instituto Interamericano de Derechos Humanos/Universidad de Heidelberg/Internacional idea/Tribunal Electoral del Poder Judicial de la Federación.

Tuesta, Fernando (2003). “Abstencionismo y ausentismo, ¿son iguales?”. Ponencia presentada en la XVII Conferencia del Protocolo de Tikal, San José, Costa Rica, del 24 al 26 de septiembre.

 

Sitio web utilizado para elaboración de tablas y gráficas

Registraduría Nacional del Estado Civil de Colombia. Disponible en <https://www.registraduria.gov.co/>.

 

Notas periodísticas

El Espectador (2017). “Política en el corazón del paramilitarismo: décima segunda circunscripción de paz”. 24 de junio, p. 10.

El Espectador (2018). “Éstas serían las modificaciones que le haría el uribismo al acuerdo de paz”. 27 de junio. Disponible en <enlace>.

El Heraldo (2018). “Acto legislativo revivirá las 16 curules de paz”. 29 de marzo. Disponible en <https://www.elheraldo.co/politica/acto-legislativo-revivira-las-16-curules-de-paz-475956>.

La Nación (2018). “De guerrilla a partido político: así preparan las farc su primera campaña electoral”. 28 de febrero. Disponible en <enlace>.

El País de Cali (2017). “Ley de Amnistía, al tablero en la Corte Constitucional”. 4 de diciembre.

El Tiempo (2018). “¿Circunscripciones de Paz para las FARC? Otra de las grandes mentiras”. 30 de marzo. Disponible en: <enlace>.

 

Recibido: 19 de octubre de 2017

Aceptado: 10 de septiembre de 2018

Buscador

Usted está consultando

v81n2

También puede consultarla en:

Instituto de Investigaciones Sociales de la UNAM

jstor

scielo

redalyc

rms ojs

XIII PICS

premiados

La próxima fecha límite
para recepción de artículos
es el 18 de julio de 2025.
Periodo de recepción:
Del 12 de mayo al 18 de julio.

D. R. © 2015. Universidad Nacional Autónoma de México-Instituto de Investigaciones Sociales.